Chemistry is the study of the substances that make up matter. It looks at their properties, how they react with each other, and how these reactions can create new substances.
-
Question 61: Which of these statements is TRUE about carbon (IV) oxide?
Options:
A) it supports combustion
B) It is strongly acidic in water
C) It is very soluble in water
D) It supports the buring of magnesium to produce magnesium oxide
Show Answer
The correct answer is C .
-
Question 62:
In order to electroplate spoon with silver, the arrangement of the electrolytic cell is?
Options:
A) the anode is a silver rod and the cathode is the spoon
B) the anode is the spoon and the cathode is a silver rod
C) the electrolyte is silver trioxonitrate(v)( solution and the cathode is a silver rod.
D) the electrolyte is silver trioxonitrate(v) solution and the anode is the spoon
Show Answer
The correct answer is A .
-
Question 63:
The process or act of extracting a metal from its ore and refining it is called?
Options:
A) Extraction
B) Metal mining
C) Mettallurgy
D) Prospecting
Show Answer
The correct answer is C .
-
Question 64:
The reactions below represent neutralization reaction, in which of them is the value of H highest?
Options:
A) CHCHCOOH + KOH → CHCHCOOK + HO
B) NHOH + HCL → NH + HO
C) NaOH + HCL → NaCL + HO
D) CHCOOH + NaOH → CHCOONa + HO
Show Answer
The correct answer is C .
-
Question 65: What current in ampere will deposit 0.27g of aluminium in 2 hours? [Al = 27, F = 96500C].
Options:
A) 3.2
B) 8
C) 0.4
D) 16
Show Answer
The correct answer is C .
-
Question 66:
Which organic compound is responsible for the characteristic aroma of fruits?
Options:
A) Alkane
B) Alkyne
C) Ester
D) Amine
Show Answer
The correct answer is C .
-
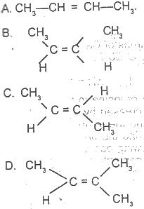
Question 67:

Use the graph above to answer this question. The structure of cis-2-butene is
Options:
A) A
B) B
C) C
D) D
Show Answer
The correct answer is B .
-
Question 68:
The most abundant rare gas in the atmosphere is?
Options:
A) He
B) Ne
C) Ar
D) Xe
Show Answer
The correct answer is C .
-
Question 69: Which of the following statements is true of sulphur (IV) oxide?
Options:
A) It forms tetraoxosulphate (VI) acid with water
B) It is an odourless gas
C) It is an acid hybride
D) It forms white precipitate with acidified barium chloride
Show Answer
The correct answer is C .
-
Question 70: Fermentation is the
Options:
A) breaking down of carbohydrate to glucose
B) conversion of sugar to alcohol in the presence of yeast
C) breaking down of sugar to carbohydrate
D) conversion of alcohol to sugar in the presence of yeast
Show Answer
The correct answer is B .